贵州大学明德学院电竞协会简介
一 协会背景
大学校园是我们踏入社会前给自己能力提升的重要转折点,当然也是我们饱学知识的海洋。因为在大学我们不但可以学习自己的专业知识,还可以充分利用课余时间进行休闲娱乐,来提升自己的能力并达到劳逸结合。大学给了我们在校大学生无拘无束的生活,和自由发展的空间。我们应当充分利用好这一空间,让自己不在大学这样无拘无束的生活中懈怠。同时也是因为这种宽松的环境容易产生懈怠,因此也会使很多人身体素质下降、团队协作意识逐渐淡薄。为了实现我们大学生活的充实和丰富,不再单一的蜗居寝室。我们决定成立电竞协会,电竞顾名思义就是电子游戏,是一个很容易让人玩物丧志的事物。我们协会成立初衷就是要让他与学习结合起来,相互扶持相互作用。协会是集大成者组织,在协会里我们能欢声笑语的谈能游戏中的乐趣,同样我们也可以严谨细致的商讨学习中的难题,结交各种朋友。大学生活就是一个平台,所以我们要抓住机会在这个平台上尽情地展现自我、锻炼自我,这不仅丰富了我们的大学生活,锻炼了我们的身体,还增强了我们的团队协作意识。
二 协会宗旨
协会以发扬奥林匹克体育精神,借电子竞技锻炼会员的反应能力、思维能力、手脑协调能力、同时提高会员的团队意识、协作能力及人际交往能力,并通过比赛培养会员坚韧乐观的精神,丰富课余生活。
三 协会精神
互助、互爱、团队合作、积极发展、勤奋锻炼、坚持不懈、努力成功。没有做不到,只有想不到,思想有多远就能走多远,心有多宽,路就有多宽。修身养性、明心见性。展现自我、共创未来。
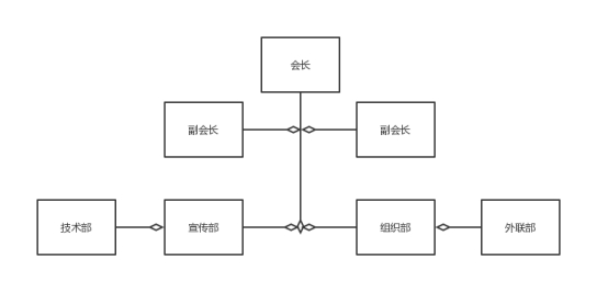
四 机构及其职能

会长:
负责对社团的管理和监督社团各种财务收支活动
副会长:
负责协调部门之间的工作,协助会长管理社团,及准时准确的宣传协会的活动时间与地点
宣传部:
负责对本协会的各项活动进行宣传工作 ,包括协会本身的宣传,扩大本协会 及协会赛事的影响力,增强 本协会的作用效果。负责协会各类活动的海报、PPT流程及横幅的设计、创作。负责所有协会对外形象的设计。
外联部:
负责沟通校团委、校学生社团联合和会等单位及其他社团(协会)。负责和有关组织、企业、公司建立密切联系,为协会发展提供赞助以及制造一些兼职实践的机会。负责和校外比赛的对接工作。
组织部:
负责接受学院和院团委的管理在会长指导下切实开展工作。负责活动的策划、后勤准备工作,协助其他部门完成协会的日常工作及活动的举行安排。同时还要负责协会成员的对接工作。
技术部:
负责培养有潜质有能力的同学,组建比赛队伍,力争以代表学校在大型比赛中取的好成绩为学校争光,并且也是电竞协会的比赛活动承办部门,负责承办校内外的比赛活动。还按游戏种类分设游戏组,覆盖最流行火爆的主流游戏,以及部分相对小众的游戏。管理协会代表战队(王者荣耀、LOL),监督战队(王者荣耀、LOL)成员不得参与本校比赛(可单人另行组队参加)。同时负责包括队员选拔、队员训练和校内比赛裁判以及解说的工作
注:以上职责后期将会继续完善,各部门相互协调工作 我们协会所有部门成员都机会进入协会战队 望各位按自己的爱好或者特长进入部门
五 协会意外事故处理
当开展活动发生意外事故时,我社将根据事故的轻重程度给予相应的解决方案:
1、若事故较轻且在我们能解决的范畴之内,将由我社组织部组织协调小组给予解决。
2、若事故较重,我社将及时上报学院及学生会,寻求帮助,并积极配合学院及学生会认真处理该事故。
3、若事故超出学院及学生会所能承受范围,我们将及时申报学校及国家公安机关给予解决,并上报学院及学生会,认真、积极地配合一切工作。
我会将本着“安全第一,比赛第二”的原则,在活动中尽量减少甚至避免意外事故的发生,团结每一位社员,开展好每一次活动。
六、协会费用来源
我社团活动经费主要有以下来源:
1、会费收入:30元/每人
2、社团内部由部分个人筹集的费用
3、组织部筹集经费等等。
七、协会活动开展
为了丰富Beat365学生业余生活,我社团将不定期开展以下活动:
面向全校开展联赛
开展社员交流会,熟悉社团成员及社团宗旨。
内部开展友谊比赛。
会员大会,集思广益,大家一起讨论社团的发展和活动组织问题各抒己见。我们的活动宗旨是全心全意为学生服务,以提高大学生自身素质,提高大学生团体协作意识为最终目标。
贵州大学明德学院电竞协会
2019年9月8日